트레이딩뷰/지표
[트레이딩뷰 지표/인디케이터 설명] 📊 거래량 가중 이동 평균(VWMA) 완벽 정리: 정의, 계산법, 활용 전략
trader-xeon
2025. 4. 12. 23:07
반응형
VWMA(Volume Weighted Moving Average)는 일반적인 이동 평균과 달리 거래량을 고려하여 평균 가격을 계산하는 지표입니다. 단순한 평균이 아닌, 시장의 ‘진짜 무게’를 파악할 수 있게 도와주는 기술적 분석 도구입니다.
🧠 VWMA란 무엇인가?
VWMA는 일정 기간 동안의 가격 데이터를 바탕으로, 각 가격에 해당하는 거래량을 가중치로 부여한 평균값입니다. 거래량이 높은 가격일수록 VWMA에 더 큰 영향을 미칩니다.
즉, 많이 거래된 가격이 평균에 더 큰 영향을 준다 = 실제 시장의 "의도"를 더 잘 반영한다는 뜻이죠.
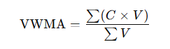
🧮 VWMA 공식 및 계산 방법
📌 공식:

- C: 해당 기간의 종가(Close)
- V: 해당 기간의 거래량(Volume)
예를 들어, 3일간의 VWMA를 구하려면:

🔍 핵심 포인트
- 거래량이 많을수록 해당 가격이 VWMA에 더 큰 영향
- 볼륨이 많은 날의 가격이 실제 추세를 더 잘 반영함
📈 VWMA의 활용법
1. 트렌드 분석
- VWMA가 상승하면 거래량을 수반한 강한 상승 추세
- VWMA가 하락하면 하락 압력이 거래량과 함께 동반됨
2. SMA와 VWMA의 비교
- VWMA > SMA → 상승일의 거래량이 더 많다
- VWMA < SMA → 하락일의 거래량이 더 많다
SMA와 VWMA를 함께 사용하면 시장에 힘이 실리고 있는 방향을 더 명확하게 파악할 수 있습니다.
3. 지지와 저항
- VWMA도 이동평균선이므로, 지지선 또는 저항선 역할을 할 수 있습니다. 단, 이는 거래량 기반의 강력한 기준이 될 수 있습니다.
📌 VWMA vs VWAP vs SMA vs EMA
| 항목 | VWMA | VWAP | SMA | EMA |
| 거래량 고려 | ✅ | ✅ | ❌ | ❌ |
| 리셋 기준 | 고정 기간 | 하루 기준(리셋) | 고정 기간 | 고정 기간 |
| 반응 속도 | 중간 | 느림 | 느림 | 빠름 |
| 용도 | 추세 분석 | 일중 평균가 | 기본 필터 | 민감한 추세 포착 |
📚 VWMA 사용할 때 유의사항
- 단기 노이즈를 줄이려면 기간을 늘리는 것이 좋음
- VWMA 단독 사용보다는 다른 지표(예: RSI, MACD, SMA 등)와 병행 사용이 효과적
- 거래량이 적은 구간에서는 정확도가 떨어질 수 있음
✍️ 요약
| 항목 | 설명 |
| 정의 | 거래량을 가중치로 반영한 이동 평균 |
| 공식 | (가격 × 거래량)의 합 / 거래량의 총합 |
| 특징 | 거래량 많은 가격이 평균에 더 큰 영향 |
| 활용법 | 추세 분석, SMA 비교, 지지/저항선 |
| 추천 조합 | VWMA + SMA, VWMA + MACD, VWMA + RSI |
"거래량은 가격보다 먼저 움직인다." VWMA는 그 힌트를 가장 잘 보여주는 도구 중 하나입니다.
반응형